10 年
手机商铺
公司新闻/正文
125 人阅读发布时间:2026-01-27 15:52
一. 研究背景
锂离子电池回收中,传统火法和湿法冶金工艺主要聚焦于金属回收,却导致石墨等有价值材料流失,且存在高能耗、废水处理成本高等问题。直接回收法则可保留材料原始结构和功能,更具可持续性。
直接电池回收(Direct Battery Recycling)作为一种新兴方法,旨在保留材料原始结构和功能,将其直接返回电池供应链,具有高效、环保的潜力。然而,在评估直接回收法回收石墨和炭黑的可行性时,遇到了一个关键难题:负极浆料中的石墨和炭黑化学成分相同,但物理性质(粒径、密度)存在差异,传统分析手段难以对两者进行定量区分,阻碍了直接回收效率的评估。因此,需开发合适的分离与检测方法,实现两者的有效分离及定量分析。
二. 实验及分析
通过LUMiSizer沉降分析和激光衍射两种方法,结合卧螺离心机的离心分级实验,评估石墨和炭黑的分离效果。
2.1 实验材料与浆料制备
负极浆料组成:使用石墨MECHANO-CAP? 1P1(密度2200 kg/m3)作为负极活性材料,炭黑 SUPER C65(密度1600 kg/m3)作为导电添加剂,搭配羧甲基纤维素(CMC)和丁苯橡胶(SBR)作为水性粘结剂。按石墨:炭黑:CMC:SBR = 90:7:1.5:1.5的质量比制备水性负极浆料,总固体体积分数为14.3%。制备过程中,先将CMC溶于去离子水,再依次加入炭黑、石墨和 SBR 分散液,确保充分混合。
离心分离设备:卧螺离心机(MD 80),通过调节离心加速度(352 g、626 g)和体积流量(23、43、66 L/H)实现分离。
检测设备:LUMiSizer全功能分散体系分析仪(LUM GmbH)、HELOS H0309激光衍射仪。
2.2 LUMiSizer 离心沉降分析
2.2.1 测试方法
1)使用LUMiSizer分析颗粒在离心场中的沉降行为(工作原理如图1)。其通过STEP 技术(空间时间消光图谱法),在离心过程中用870nm近红外光照射样品,由两千多个CCD 探测器记录光透射率随时间的变化,分析软件SEPView根据斯托克斯定律计算颗粒的沉降速度。
2)采用双阶段离心沉降分析:第一阶段在9g离心加速度下运行5分钟,主要沉积粗颗粒石墨 。

图1 LUMiSizer原理图
3) 对于预期富石墨浆料,稀释至0.110%固含量;预期富炭黑浆料稀释至0.012%固含量。对碳黑富集的离心液样品,通过“浓缩方法”(多次离心后补充样品,图2)提高石墨检测灵敏度。

图2 以主要含炭黑颗粒及少量石墨杂质的离心液样品为例的浓缩方法示意图
2.2.2 测试结果
1)图3显示了原始负极浆料、纯石墨浆料(固含量0.110%)和纯炭黑浆料(固含量0.012%)的等效粒径累积强度分布。纯石墨浆料在等效粒径2μm处有明显转折点,纯炭黑浆料分布更偏向细颗粒,两者重叠区域极小,原始负极浆料的双峰分布验证了该方法对混合体系的适用性。

图3 LUMiSizer测得的纯炭黑和石墨浆料的累积强度分布
2)石墨占比20%时,分布与纯炭黑无显著差异,经浓缩方法处理后,检测下限可降至10%(图4、5)。

图4 纯石墨、纯炭黑以及含不同量石墨的负极浆料的累积强度分布

图5 纯石墨、纯炭黑、原始负极浆料,以及炭黑含量恒定且石墨含量为10%并经过浓缩法处理和未经过浓缩法处理的负极浆料的累积强度分布
3)炭黑在石墨富集浆料中的检测下限低至1%。

图6 纯石墨、纯炭黑以及含有不同含量炭黑的负极浆料的累积强度分布
2.3 激光衍射粒度分析
2.3.1 测试方法
1)使用HELOS H0309激光衍射仪(Sympatec GmbH)测量水性样品的粒度分布。测量时,需将样品用去离子水稀释至固体体积分数在 10-5到 10-6范围内,以达到约20%的光学浓度。
2.3.2 测试结果
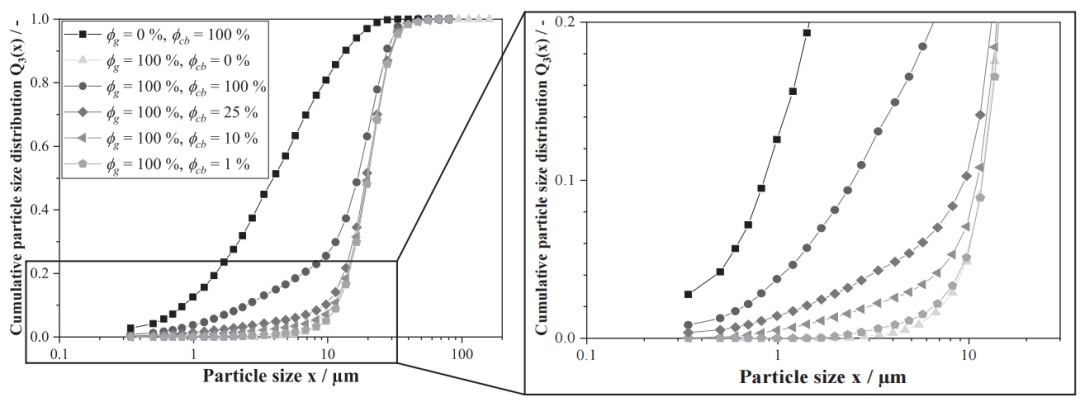
1)图7显示了原始负极浆料、纯炭黑浆料和纯石墨浆料的体积加权累积粒度分布 Q?(x)。石墨颗粒的平均粒径 X50,3为21.2μm,分布较窄(Span值为0.9);炭黑颗粒的平均粒径X50,3为4.4μm,分布较宽(Span值为3.2)。石墨颗粒主要分布在较粗的粒径范围,炭黑颗粒主要在较细的粒径范围,两者仅在约 7~23μm范围内有重叠,原始浆料呈现双峰分布,这表明激光衍射法可根据粒度差异估算两者在水性浆料中的比例。

图7 激光衍射法测定的纯炭黑和石墨浆料的累积粒度分布
2)图8、9显示,固定炭黑比例、降低石墨比例时,混合浆料粒径分布曲线从原始浆料向纯炭黑靠近,石墨占比10%仍存双峰特征,1%时与纯炭黑几乎重合;固定石墨比例、降低炭黑比例时,曲线向纯石墨靠近,炭黑< 2μm细颗粒尾部随占比降低减弱,1%时消失。故该方法对石墨在炭黑富集浆料、炭黑在石墨富集浆料的检测下限均为10%。

图8 纯石墨、纯炭黑以及不同石墨含量的负极浆料的累积粒度分布

图9 纯石墨、纯炭黑以及含不同炭黑含量的负极浆料的累积粒度分布
2.4 离心分馏实验验证
在卧螺离心机 MD 80 中进行分离实验,通过上述两种分析方法对不同离心加速度和体积流量下的离心液和沉积物样品进行分析。
2.4.1 LUMiSizer验证结果
1)离心液中未检测到石墨特征粒径(>3μm),石墨分离效率≥90%。图10展示了在 352g 恒定离心加速度和不同体积流量下,经浓缩方法处理的离心液样品的累积强度分布,与纯炭黑和含10%石墨的浆料分布对比,表明石墨分离效率超过 90%;图11为626g离心加速度下不同体积流量的离心液样品累积强度分布,同样显示石墨分离效率至少 90%。

图10 在352g的恒定离心加速度和来自卧螺离心机的不同体积流量下采集的浓缩样品的累积强度分布

图11 在626g恒定离心加速度和来自卧螺离心机不同体积流量下采集的浓缩样品的累积强度分布
2)图12呈现了不同离心加速度和体积流量下沉积物样品的累积强度分布,与不同炭黑含量的参考浆料对比,可知在 352g、66 L/H时,炭黑沉积率在10%-20%之间。

图12 不同离心加速度和不同体积流量下从卧螺离心机获取的参考测量值与沉积物样本的累积强度分布
2.4.2 激光衍射法验证结果
图13和图14分别为626g离心加速度下不同体积流量的离心液和沉积物样品的激光衍射粒度分布,与参考样品对比,结果与LUMiSizer分析一致,验证了离心分离效果。

图13 参比测量以及在626g恒定离心加速度和不同体积流量下从卧螺离心机获取的浓缩液样品的累积粒度分布

图14 在626g恒定离心加速度以及不同体积流量下,从卧螺离心机获取的参考测量值与沉积物样本的累积粒度分布
结论
LUMiSizer 的沉降分析与激光粒度仪结果高度一致,均表明卧螺离心机可实现石墨的高效分离,石墨分离效率> 90%,炭黑沉积率仅10%-20%。
与激光衍射法相比,LUMiSizer对低浓度炭黑的检测能力(下限1%)远超激光衍射法(下限10%),对炭黑检测更敏感,尤其适用于低含量炭黑的定量分析,为工艺优化提供了更灵敏的反馈。
本实验证实了离心分离可直接回收负极材料,且保留其原始结构,可直接回用于电池生产,符合绿色回收理念。