10 年
手机商铺
公司新闻/正文
414 人阅读发布时间:2024-11-22 10:59
本文隶属于一体化解决方案系列,全文共 6593字,阅读大约需要 22分钟
引言:高压均质机对于乳剂制备的作用
乳剂通常是由两种互不相溶的液体,其中一种以微小液滴的形式分散在另一种液体中所形成的非均相分散体系,这些液滴通常直径在0.1至100微米之间,由乳化剂稳定。因此乳剂通常是由水相、油相和乳化剂三部分组成,其中乳化剂起到关键作用,能够降低界面张力,在分散相液滴周围形成坚固的界面膜。乳剂在医药、化妆品、食品等领域应用十分广泛。近期对于复杂注射剂-乳剂的研究非常活跃。
关键词:乳剂,复杂注射剂,纳米乳剂,高压均质制备;
一、
乳剂特性及应用
复杂注射剂中的乳剂是指通过特殊制备工艺形成的油/水或水/油型乳状液,用于注射给药。这类乳剂在药物传递系统中具有重要作用,尤其在脂溶性药物和生物大分子药物的输送中。其特点及应用如下:
特点:
1. 药物溶解与释放控制
提高难溶性药物的溶解性:脂溶性药物或难溶性药物可以通过分散在油相中来提高溶解度。
缓释作用:乳剂中的油相或水相可以控制药物的释放速率,实现长效缓释。例如,水包油型乳剂(W/O)可以延缓水溶性药物的释放,油包水型乳剂(O/W)则适合缓释脂溶性药物。
药物保护:乳剂系统可以将不稳定的药物包裹在分散相内,避免其在体内被快速降解或代谢。
2. 生物相容性
注射用乳剂必须具有良好的生物相容性,通常采用生物可降解的油类和表面活性剂,如大豆油、卵磷脂等,确保其在体内的代谢和排泄不会产生毒副作用。
3. 液滴粒径及稳定性
粒径大小:注射用乳剂的液滴粒径通常在0.2至1微米之间,以确保注射过程的安全性和药物的生物利用度。过大或过小的液滴都可能导致注射部位的不良反应或药物分布异常。
乳剂稳定性:为了防止注射后油水相分离,注射用乳剂必须具有较高的物理和化学稳定性。这通常通过使用适当的乳化剂(如卵磷脂)以及优化乳化过程来实现。
4. 配伍性与安全性
注射用乳剂应与常用的溶媒、辅料以及注射设备具有良好的配伍性,以避免药物与溶剂或容器材料发生不良反应,影响药效或引起安全性问题。
5. 靶向递送功能
复杂注射剂中的乳剂可以通过修饰液滴表面,或将特定的配体、抗体等结合到乳剂表面,实现药物的靶向递送。例如,可以设计带有肿瘤靶向性标记的乳剂,用于癌症治疗中。
应用:
1. 全身给药
脂肪乳:作为全身营养输液中常用的成分,用于给患者提供必需的脂肪酸和能量来源。
抗肿瘤药物递送:一些抗癌药物如紫杉醇等由于其强疏水性,难以直接注射给药,而乳剂作为载体可以将这些药物溶解在油相中,安全有效地输送到肿瘤部位。
疫苗递送:某些疫苗也可以通过乳剂系统进行递送,增强抗原的免疫反应,提高免疫效果。
2. 局部注射
局部麻醉药物:乳剂可以用作局部麻醉剂的载体,通过缓释机制延长药效。
抗感染药物:一些局部抗感染药物如抗生素类药物也可以通过乳剂来递送,以实现局部组织高浓度药物的持续释放。
3. 长效制剂
缓释注射剂:通过乳剂的设计,使药物在体内缓慢释放,达到长效治疗的目的。例如用于治疗慢性疾病的药物可以制成长效乳剂注射剂,减少给药频次。
4. 靶向递送
肝脏和淋巴系统靶向递送:乳剂的粒径可以影响其在体内的分布,如较大的粒径更容易被肝脏、脾脏等器官的网状内皮系统捕获,从而实现药物的靶向递送,特别适用于治疗肝脏和淋巴系统疾病。
5. 载药蛋白或肽类药物
乳剂可以保护脆弱的蛋白或肽类药物,防止其在体内被快速降解,延长药效。例如用于胰岛素或生长激素等的递送。
复杂注射剂中的乳剂系统因其独特的结构和特性,在药物递送中具有不可替代的作用。它们能够提高药物的溶解性、控制药物的释放速度、实现靶向递送,并具备良好的生物相容性和稳定性。这些特性使得乳剂成为治疗多种复杂疾病、提高药物疗效的重要工具。

二、
乳剂的制备与质量把控
在乳剂的制备过程中,难点很多,也不容忽视。首先,乳化剂的选择需极为谨慎,不同类型的乳剂对乳化剂的亲水亲油平衡值(HLB值)要求各异,不合适的乳化剂难以形成稳定的乳剂体系。其次,在质量控制方面,乳剂有着严格的要求。稳定性和粒度控制是关键指标,需确保在储存过程中不分层、不絮凝。液滴的粒径分布要符合标准,过大或过小的液滴比例过多都会影响乳剂的性能。另外,药物含量的均匀性也至关重要,药物含量不均匀可能导致药效不稳定甚至产生不良反应。这些质量控制要点,是乳剂能够安全、有效应用的必要保障。
而在制备方法也有很多选择,比如乳化聚合法、反应乳化法、复合乳剂制备、摇晃法、搅拌法、超声波法、高压均质法。其中高压微射流均质法是指利用高压使分散相颗粒在连续相中通过狭小的固定孔径,通过空穴效应,高剪切力,高碰撞力,从而达到细化和稳定乳滴的效果。这种设备通常用于需要高稳定性的乳剂制备。
此外,制备工艺的参数控制也是一大挑战,如搅拌速度、温度等,任何一个环节的偏差都可能导致液滴大小不均或出现破乳现象。

三、
案例分享
案例一:
颗粒大小和离子强度对分离乳清蛋白稳定乳状液冻融稳定性的影响[1]
目的:研究分离乳清蛋白(whey protein isolate, WPI)稳定乳状液的粒径和离子强度对其冻融稳定性的影响。
实验过程:
1) 制备分离乳清蛋白储备水分散液(4%,m/V),加迭氮钠(0.02%,m/V),室温磁力搅拌2小时,4°C过夜水合。
2) 高速均质机以20000转/分钟将分离乳清蛋白储备液和大豆油(φ=40%)混合5分钟得初乳。
3) 高压微射流均质机在60MPa下将初乳均质0、3、5或7次得不同粒径乳液。
4) 向分离乳清蛋白储备液加不同量NaCl(终浓度10、30、50、70mmol/L),磁力搅拌2小时。
5) 按上述两步均质化过程(第二步均质5次)制备不同离子强度乳液。
等份的乳剂装入密封的玻璃管(20mL)中,在-30°C下冷冻24小时。随后,在25°C下解冻2小时,直至完全融化。重复三次冻融(FT)处理,并在每次FT处理后测量乳液的物理化学性质。
重力分离速率随粒径的减小而减小,因此在均质化过程中减小初始乳剂粒径可以延缓乳剂的不稳定性。为了研究粒径对乳剂FT稳定性的影响,制备了粒径(d4,3)分别为8.92、1.28、0.83和0.65μm的初始乳剂,分别标记为EuA、EuB、EuC和EuD。
所有初始乳剂在冷冻前都没有显示出任何奶油化的迹象(图表1A)。粒径较大(8.92μm)的EuA在第一次FT处理后出现了严重的脱油现象。二次FT处理后,EuB内形成油浮子。在FT处理的第三个周期后,EuC和EuD才出现脱油现象。

图表1A:不同均质工艺制备的乳剂在不同FT处理周期前后的视觉外观
如图表1B所示,随着FT处理循环次数的增加,除EuA外,所有乳状液的粒径(d4,3)均有所增大,这可能是由于液滴之间适度絮凝或聚结的结果。由于第一轮FT处理后EuA出现了严重的脱油现象,因此测量结果不能真实反映乳液的粒径(数据未显示)。

图表1B:不同均质工艺制备的乳剂在不同FT处理周期前后的平均直径(d4,3)
乳剂的微观结构图像如图表1C所示。可以观察到,FT后的EuA的粒径要比初始EuA小得多。由于三次FT处理后EuA的结构被完全破坏,在显微镜下可以观察到大量的聚集体和少量的油滴。

图表1C:不同均质工艺制备的乳剂在不同FT处理周期前后的光学显微照片
随着FT处理循环次数的增加,观察到EuB和EuC中的液滴变大。随着EuB和EuC表面蛋白质层的部分破坏,越来越多的油滴聚集在一起形成更大的油滴。相反,在重复FT处理后,EuD的粒径没有明显增加,而且液滴似乎在一起絮凝。适度的絮凝可能有利于抵抗FT过程中环境因素的剧烈变化,有利于保持乳状液的稳定性。以上结果说明减小初始乳剂的粒径可以有效提高乳剂的FT稳定性。
实验结论:
结果表明,减小初始乳状液的粒径可以通过延缓油滴之间的聚并来提高乳状液的冻融稳定性。颗粒尺寸更小、表面电荷更低的蛋白质的形成可以加速它们在油水界面的聚集,促进界面的紧密堆积。蛋白质表面疏水性的降低提高了其在水分散体中的溶解度,有利于提高蛋白质的界面浓度。 因此,当蛋白质吸附到油水界面时,通过增强界面层的刚度和厚度,有利于增强乳状液的界面稳定性,有效地抵抗了FT过程中冰晶对乳状液液滴的刺穿。
案例二
高压微射流均质对姜黄素纳米乳液稳定性的影响[2]
目的:通过高压微射流均质建立稳定的姜黄素乳液体系。以粒径为考察指标,采用LUMiSizer稳定性分析仪研究不同均质压力、均质次数、乳化剂浓度对姜黄素乳液稳定性的影响。
试验过程:
制备姜黄素纳米乳液:称取0.04g姜黄素粉末溶于80℃10mLMCT(中链甘油三酸酯)中形成油相;称取一定量的乳化剂(吐温80、卵磷脂、乳清蛋白和阿拉伯胶)分别溶解于90mL磷酸盐缓冲溶液(10mmol/L,pH7)中,形成水相;将油相缓慢滴加到水相中分散后得到粗乳液;粗乳液通过均质(不同均质条件)得到精细乳液 。
评价方法:
采用激光粒度仪测定姜黄素乳液的平均粒径;用LUMiSizer稳定性分析仪对黄素纳米乳液进行物理稳定性快速分析。通过界面追踪Fronttracking确定合适的均质条件、乳化剂浓度。
(1)4种乳化剂对姜黄素乳液物化性能的影响
4种乳化剂在相同均质条件(均质压力60MPa,3次)下,随着乳化剂添加量的增大(1%,2%,3%,4%,5%),乳液粒径逐渐减小,之后趋势平缓(图2A)。小分子类合成乳化剂(吐温80)与蛋白质类(乳清蛋白)对粒径的影响高于多糖类(阿拉伯胶)和磷脂类(卵磷脂)。乳化剂型对乳液粒径的影响较大,乳化剂是影响乳液粒径的主要因素。当吐温80和乳清蛋白的添加量于2%左右时,乳液粒径大小基本保持不变,维持在169nm与226nm左右,选此值作为后续试验添加量,阿拉伯胶的质量分数在4%时乳液粒径最大(650nm)。当卵磷脂的添加量到3%时,粒径减小趋势不太明显,粒径为415nm。选用4%与3%作为阿拉伯胶和卵磷脂后续研究的添加量。

图表2A:不同乳化剂添加量对制备的姜黄素乳液平均粒径的影响
(2)均质压力和次数对姜黄素乳液粒径、物化性能的影响
从图表2A看,4种乳液的平均粒径与均质压力具有一定的相关性。随着均质压力的增大,剪切力与紊流作用力不断增大,4种乳液的平均粒径逐渐减小,之后趋于平缓。均质压力增大,能耗随之增大,导致温度升高,破坏物质的结构,需综合考虑选择最适压强。
将四种粗乳液的均质压力从10MPa逐步增加到80MPa。其中,阿拉伯胶乳液粒径从834nm降至600nm,压力超过40MPa后粒径基本不变,后续试验选用40MPa压力。卵磷脂乳液粒径从362nm降至196nm且一直减小,可能与高温高压下卵磷脂不稳定及结构变化有关,选择40MPa为合适压力。乳清蛋白乳液粒径降至225nm,压力过高会引起蛋白变性,综合考虑采用40MPa作为均质压力。吐温80乳液粒径降至130nm,选用60MPa作为均质压力。
固定四种乳液的添加量和均质压力,进行不同次数的均质,检测均质前后的粒径变化。从图2B可以看出,四种乳液的平均粒径随均质次数增加而减小,之后趋势变小。具体情况如下:
阿拉伯胶乳液在均质压力为40MPa、添加量为4%时,均质两次后粒径基本保持在570nm左右,最适均质次数为2。
卵磷脂在均质压力为40MPa、添加量为3%时,随着均质次数增加粒径减小,均质6次后粒径减小趋势增大,可能与其结构变化有关,最终选均质6次做后续研究。
乳清蛋白在均质压力40MPa、添加量为2%时,均质6次粒径最小(196nm),最终选均质6次。
吐温80在均质压力60MPa、添加量2%时,均质超过6次后粒径虽有减小但不明显,综合考虑能耗及时间,也选均质6次。
可以看出随着均质次数的增加,乳液粒子之直径(粒径)分布均匀,对乳液的稳定性有一定的影响。

图表2B:均质条件对乳液平均粒径的影响
(3)均质条件对姜黄素乳液稳定性的影响
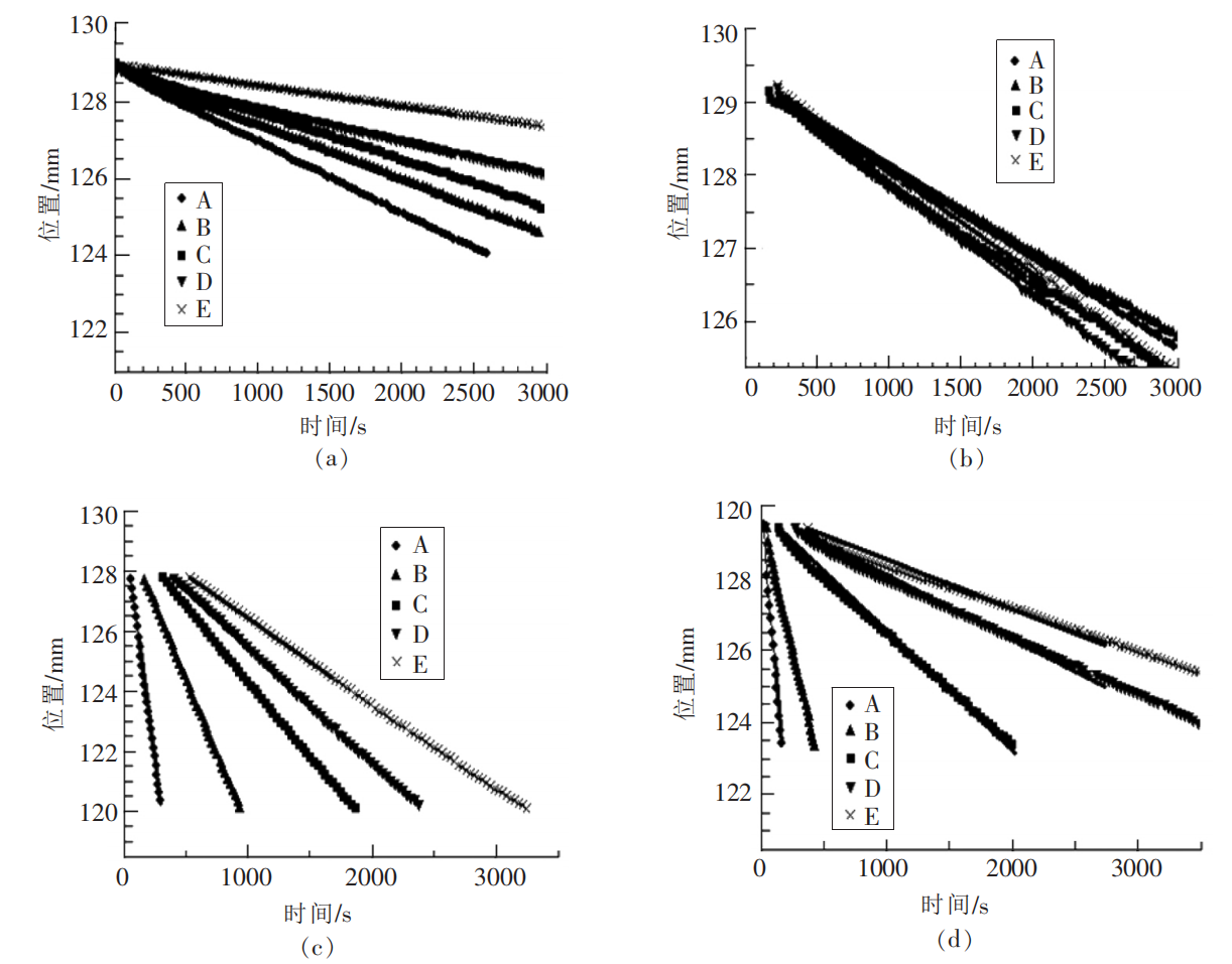
利用LUMiSizer稳定性分析仪,通过离心加速沉降、悬浮的方法使溶液分层。因样品管溶液中粒子在不同时间会有所移动,进而造成对应位置的光透射强度发生变化,同时随着时间的变化,可得到相应的空间和时间解析消光图谱采用Fronttracking界面追踪的分析方法分析曲线,能更直观地描述乳液的稳定性。以下斜率图中(正斜率代表沉降,负斜率代表悬浮),斜率绝对值越大越不稳定
对于乳清蛋白乳液,图表1a显示当乳清蛋白添加量为2%、均质次数为3次时,给出了不同均质压力下的斜率值A-E(-8.511,-6.275,-4.435,-4.120,-3.920)。最终选定60MPa作为合适压强值。
图表3(b)则是在均质压力为60MPa、添加量为2%时,不同均质次数下的斜率值A-E(-4.004,-1.763,-1.190,-1.007,-1.064),可知均质次数超过4次对其稳定性影响不明显,故最终选用均质4次。

图表3:均质条件对乳清蛋白乳液稳定性的影响
对于吐温80乳液,图表4(a)显示当添加量为2%、均质3次时,随着均质压力的增大,乳液的稳定性变好,之后变化不大,斜率值分别为-28.38,-11.68,-5.917,-7.420,5.563,在均质压力大于40MPa后对其稳定性影响逐渐减小。由于过高的压力容易引起蛋白变性,建议选择压力40MPa做试验。
图表4(b)表明,吐温80乳液添加量为2%、均质压力40MPa时,随着均质次数的增大,乳液稳定性变好,斜率值分别为-2.921,-1.884,-1.348,-1.189,-1.073。均质超过6次后基本稳定,6次为其合适的均质次数。

图表4:均质条件对卵磷脂乳液稳定性的影响
对于卵磷脂乳液,图表4(a)显示在乳化剂添加量为4%、均质3次时,均质压力与其稳定性呈负相关,斜率值分别为-4.162,-4.090,-4.195,-4.723,-5.069。在压力超过60MPa后稳定性开始下降,可能是因为卵磷脂在高温、高压下不稳定,结构发生变化,进而影响其乳化效果。最终选择适宜压力为40MPa。
图表4(b)表明在卵磷脂均质压力为40MPa、添加量为4%时,乳液随着均质次数的增加稳定性发生变化,斜率值为-5.528,-4.107,-3.718,-3.491,-3.276。最终选定均质6次。

图表4:均质条件对卵磷脂乳液稳定性的影响
通过LUMiSizer稳定性分析仪,极为有效地表征乳剂中各项参数对于产品稳定性的影响。从多个角度对乳剂中的不同参数进行深入探测和细致分析,准确地揭示出这些参数是如何具体地作用于产品的稳定性,为进一步优化乳剂产品提供方向。
(4)乳化剂浓度对乳液稳定性的影响
图(a)至(d)可看出4种乳化剂在各自选定的均质条件下,随着乳化剂添加量的增大(0.5%,1%,2%,3%,4%),乳液的稳定性提高。

图表5:乳化剂类型与浓度对乳液稳定性的影响
图表5(a)显示,不同浓度的乳清蛋白乳液分析斜率分别为-1.849,-1.419,-1.211,-0.9052,-0.5440,当乳清蛋白添加量为4%时,斜率线趋于平缓。由此可知,乳化剂添加量可选择4%或者略大于4%。
图表5(b)中,随着吐温80乳液浓度的增大,其稳定性呈先升高后下降的趋势,斜率值依次为-1.254,-1.226,-1.441,-1.552,-1.424。其合适添加量为2%。因为吐温80乳液粒径较小,之前有研究表明粒径太小容易发生凝聚、沉淀,这可能是影响其稳定性的原因。
图表5(c)显示,分析卵磷脂乳液所得斜率值为-30.79,-9.944,-5.305,-3.900,-2.906。当添加量超过4%时,其斜率曲线趋于平缓,可考虑选择添加量为4%,或者略大于4%。
图表5(d)可以看出,阿拉伯胶乳液的稳定性受浓度的影响较大,当添加量为4%时,其减小趋势较大,斜率值分别为-39.14,-14.69,-3.321,-1.773,-1.369。若浓度过高容易造成乳液的黏性过强,则不适宜应用,可考虑选择4%或略大于4%的添加量。
(5)结论:
4种乳化剂在相同处理条件下,吐温80乳液的粒径受均质条件、乳化剂浓度的影响最大,乳清蛋白次之,然后是卵磷脂、阿拉伯胶。结合均质条件,乳化剂浓度对乳液粒径及稳定性的影响,乳清蛋白在均质压力60MPa,均质4次,添加量为2%时得到相对稳定的乳液;吐温80在均质压力40MPa,均质6次,添加量为2%时得到相对稳定的乳液。卵磷脂可在均质压力40MPa,均质为4次,添加量为4%或略大均可。阿拉伯胶在均质压力20MPa,均质2次,添加量为4%或略大。 通过高压微射流均质能够有效的将相关样品粒径降至目标范围,利用纳米激光粒度仪完成样品的粒度表征,并且配合LUMiSizer的STEP技术可以快速分析样品的稳定性。
四、
展望
随着科技的不断进步,新型乳化剂的研发将成为重要方向。科学家们将致力于开发更加高效、安全且具有特定功能的乳化剂,以满足不同领域对乳剂性能的更高要求。例如,在医药领域,开发出具有靶向性的乳化剂,能够使乳剂精准地将药物输送至病变部位,提高治疗效果。
在制备工艺方面,智能化、自动化的生产技术将逐渐得到应用。通过精确控制制备过程中的各个参数,如温度、搅拌速度、压力等,可以实现乳剂的高质量、高稳定性生产。同时,纳米技术的进一步发展也将为乳剂制备带来新的机遇。
奥法美嘉在乳剂制备方面能提供从生产制备到质量检测的整套解决方案。团队成员以纳米技术在药物中的应用作为研究重点,分别对于脂质体、脂肪乳等复杂药物剂型的技术和质量标准升级做出了应有的贡献。现公司业务和合作伙伴已遍及医药、半导体、航空航天材料、3D打印、太阳能产业、新材料、化工、过滤等高科技行业,为中国产业的升级提供了强有力的技术支持。

图表6:高压微射流均质机PSI

图表7: AccuSizer全自动计数粒度仪

图表8 LUMiSizer稳定性分析
总之,未来的乳剂制备将朝着更加高效、精准、安全的方向发展,为各个领域带来更多的创新和突破。
参考文献
[1] Hao Lai, Fuchao Zhan, Yujie Wei, Abel W.S. Zongo, Sha Jiang, Haomin Sui, Bin Li, Jing Li,Influence of particle size and ionic strength on the freeze-thaw stability of emulsions stabilized by whey protein isolate,Food Science and Human Wellness
[2] 伍敏晖,王磊,何梅,高压微射流均质对姜黄素纳米乳液稳定性的影响.中国食品学报,2018,18(5)